邮币卡(交易日9:00-17:30): QQ:237160042

艺术珠宝(交易日09:00-17:30):010-65533711

商务咨询:010-65546511

客服邮箱:kefu@htaec.com

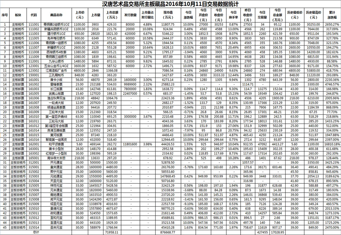
汉唐艺术品交易所主板藏品2016年10月11日交易数据统计
时间:2016/10/11 17:29:12   文章来源:汉唐艺术品交易所

2016年10月11日主板藏品数据.png

相关文章: